NUMERE RATIONALE. NUMERE IRATIONALE
NUMERELE RATIONALE
Prima multime de numere invatata in clasele anterioare a fost multimea numerelor naturale:
N = {0, 1, 2, 3,....}
A urmat apoi multimea numerelor intregi:
Z = {..., -3, -2, -1, 0, 1, 2, 3, ...}
Multimea numerelor rationale se noteaza cu Q si contine numere fie scrise sub forma de fractie ordinara, fie sub forma de fractie zecimala.

N ⊂ Z ⊂ Q
CUM SE TRANSFORMA O FRACTIE ORDINARA IN FRACTIE ZECIMALA?
Pentru a transforma o fractie ordinara in fractie zecimala, se efectueaza impartirea.
Exemplu: 1/2 = 0,5 (fractie zecimala finita)
20/3 = 6,(6) (fractie zecimala infinita periodica)
CUM SE TRANSFORMA O FRACTIE ZECIMALA IN FRACTIE ORDINARA?
In functie de tipul fractiei zecimale, se foloseste una din metodele de mai jos:
- fractie zecimala finita (simpla):


- fractie zecimala periodica simpla:

Intregii sunt scrisi inaintea virgulei, iar ceea ce este trecut in perioada (adica intre paranteze), se scrie ca fractie, acel numar impartit la atatia de 9 cate cifre sunt in perioada, apoi se introduc intregii in fractie.
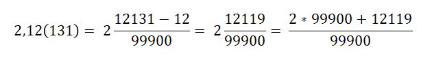
- fractie zecimala periodica mixta:

Intregii sunt scrisi inaintea virgulei, iar fractia va avea la numarator un numar format din toate cifrele de dupa virgula, din care se scade numarul format din cifrele de dupa virgula dar din afara perioadei, iar la numitor la avea un numar format din atatia de 9 cate cifre sunt in perioada si atatia de 0 cate cifre sunt dupa virgula, inaintea perioadei.
Numerele care nu sunt rationale se numesc numere irationale.