CALCULE CU RADICALI
DEFINITIE
REGULI DE CALCUL CU RADICALI

SCOATEREA FACTORULUI DE SUB RADICAL

In cazul in care unul din numerele de sub radical este patrat perfect, acesta poate fi scos de sub radical, extragand radacina patrata a numarului.
De exemplu 25 = 52, deci daca 25 ar fi fost sub radical, am fi scos factorul de sub radical si am fi obtinut 5.
INTRODUCEREA FACTORULUI SUB RADICAL

Pentru a introduce un factor sub radical, trebuie sa ridicam acel factor la puterea a 2-a si apoi sa il scriem sub radical.
In exemplul de mai jos, daca am fi avut de introdus factorul 5 sub radical, am fi obtinut:

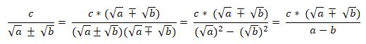
RATIONALIZAREA NUMITORULUI UNEI FRACTII
A rationaliza numitorul unei fractii inseamna a "scapa" de radicalul de la numitor, prin amplificarea fractiei cu acel radical. Dupa amplificare, la numitor vom avea un numar rational.
Numarul cu care amplificam fractia, poarta denumirea de conjugata numitorului.

Exemplu:



Sau, mai clar spus,

sau

Exemplu de rationalizare pentru cazul cand la numitor avem o scadere de 2 radicali:

EXERCITII REZOLVATE
1. Aratati ca numarul a este rational

REZOLVARE:
Se rationalizeaza numitorii fractiilor, adica vom amplifica fiecare fractie cu conjugata numitorului.
